前言:甘肃省是我国西北寒冷和严寒地区的典型代表区域,还是传统燃煤采暖大省,清洁取暖比例低,采暖期燃煤总量大、强度高,特别是传统烧煤取暖方式落后、排放大,成为引起大气环境污染的重要因素之一。作为一款环保节能的绿色新能源设备,空气能热泵与传统采暖方式相比,无燃烧、无废气、低碳环保,不仅绿色无污染,而且从根本上杜绝火灾、漏电、爆炸等安全事故发生,是目前北方“煤改电”有效技术之一。

25000㎡,采用空气能热泵实现冷暖两用
甘肃成县祁连山水泥厂采暖改造项目位于甘肃省陇南市成县,成县位于位于甘肃省南部、陇南市东北部,属秦岭南麓徽成盆地、长江上游嘉陵江水系,属于寒冷地区。为响应国家在燃煤锅炉改造清洁能源替代的清洁取暖方式号召,陇南市成县祁连山水泥厂开始谋划新的采暖方式。由于空气能热泵在北京等地区的成功应用,成县祁连山水泥厂便决定将原有燃煤锅炉采用空气能热泵进替代。

为使厂区供暖区在车间不进行生产的情况下(无法使用余热发电系统),能够正常供暖,因此增加空气能热泵设备,作为整体采暖系统的补充能源。为此,厂区经过多次协商和综合考虑,最终选择了中广欧特斯空气能热泵进行替代改造,实现冷暖两用目标。该项目工程覆盖了更衣室、单身公寓、食堂、余热电站水化间、职工公寓、办公楼、厂区销售楼等相对集中部位,建筑面积约25000㎡。

据了解,该项目于2017年10月开始施工到11月启用运行,满足了甲方需求条件,即冬季采暖期室温不低于18℃(夏季制冷期室温不高于26℃),建筑物采暖(制冷)可实现独立运行,自动控制,可与现有采暖管网有效分离,互不影响。
空气能热泵采暖效果好,费用比烧煤节省1/3
经过2017年—2018年采暖季,该项目得出了一个非常好的结论:更换成空气源热泵采暖后电费比原来燃煤费用省了许多,室内温度由原来燃煤锅炉的15℃提升到了现在采用空气能热泵采暖的20℃左右。

此外,该项目是根据具体选型计算过程,进行选型。如ZGR-70ⅡADG2可满足室外环境温度-15℃,出水温度55℃,实际制热能力40kW;室外环境温度-25℃,出水温度55℃,实际制热能力35kW。据了解,该项目末端形式为暖气片,且末端进行了温度控制,来达到供暖所需的室内温度不低于18℃要求。

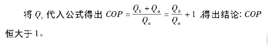
空气作为可再生能源是取之不尽、用之不竭的天然资源。而热泵技术是利用输入少量的电能,从空气中获得高于输入电能2倍~5倍的热能来加热被加热对象,实现供热的目的。空气源热泵工作中吸取空气中的热量是免费的,而输出的热能是以它为主的,根据热泵制热性能系数公式:

其中,Qc=吸收空气中的热量(Qb)+输入功率(Qa)。

从结论中不难看出空气源热泵的节能性是必然的,可见它的运行能效比较高,而普通电热水锅炉的能效比不大于0.95,燃气、燃油锅炉的能效比一般为0.6~0.8,燃煤锅炉的能效比更低,只有0.5~0.7,由此可见,空气源热泵较传统加热方式具有明显的节能优势,是节能的有效途径之一。
上一采暖季运行期间,由于工期紧迫,采暖季使用时末段仍然为暖气片,室内温度达到20℃左右,全天供暖温度无波动。同时,据该厂区负责人介绍,该项目由燃煤锅炉改为空气源热泵供暖后比之前烧煤节省了1/3的费用。


